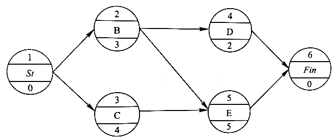
某单代号网络计划如下图所示(时间单位:月),其计算工期是()个月。 
发布时间:2020年04月30日 12:02 中迅网校 阅读量:1337

某单代号网络计划如下图所示(时间单位:月),其计算工期是()个月。

20190409092059650.jpg 

  • A

    5

  • B

    6

  • C

    8

  • D

    9

查看答案

分享到:

相关试题
重要提醒
检测到您的账号已在其他设备登录,
请重新登录
退出登录重新登录