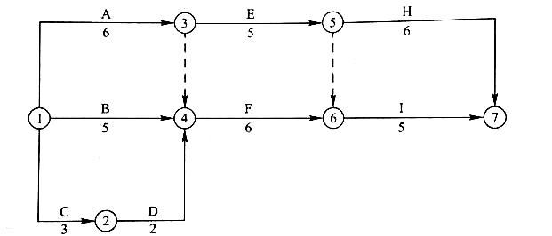
某工程双代号网络计划如下图所示(单位:d).则工作F的自由时差为()d。
发布时间:2020年04月30日 12:02 中迅网校 阅读量:1423

某工程双代号网络计划如下图所示(单位:d).则工作F的自由时差为()d。2019040909190541.jpg

  • A

    0

  • B

    1

  • C

    2

  • D

    3

查看答案

分享到:

相关试题
重要提醒
检测到您的账号已在其他设备登录,
请重新登录
退出登录重新登录