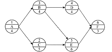
某工程的网络计划如下图所示(时间单位:天),图中工作B和E之间、工作C和E之间的时间间隔分别是()天。
发布时间:2020年04月30日 12:29 中迅网校 阅读量:1180

某工程的网络计划如下图所示(时间单位:天),图中工作B和E之间、工作C和E之间的时间间隔分别是()天。

20190816042851217.png

  • A

    1和0

  • B

    5和4

  • C

    0和0

  • D

    4和4

查看答案

分享到:

重要提醒
检测到您的账号已在其他设备登录,
请重新登录
退出登录重新登录