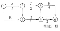
某市政工程的网络计划图如下,其合理的合同工期应是()个月。
发布时间:2020年05月24日 18:19 中迅网校 阅读量:1328

某市政工程的网络计划图如下,其合理的合同工期应是()个月。

  • A

    6

  • B

    8

  • C

    9

  • D

    10

查看答案

分享到:

相关试题
重要提醒
检测到您的账号已在其他设备登录,
请重新登录
退出登录重新登录