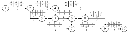
某房屋建筑工程,建筑面积6800㎡,钢筋混凝土框架结构,外墙外保温节能体系。根据《建设工程施工合同(示范文本)》(GF-2013-0201)和《建设工程监理合同(示范文本)》(GF-2012-0202),建设单位分别与中标的建设施工单位和监理单位签订了施工合同和监理合同。在合同履行过程中,发生了下列事件:事件一:工程开工前,施工单位的项目技术负责人主持编制了施工组织设计,经项目负责人审核,施工单位负责人审批后,报项目监理机构审查。监理工程师认为该施工组织设计的编制,审核(批)手续不妥,要求改正;同时,要求补充建筑节能工程施工的内容。施工单位认为,在建筑节能工程施工前还要编制,报审建筑节能工程施工技术专项方案,施工组织设计中没有建筑节能工程施工内容并无不妥,不必补充。事件二:建筑节能工程施工前,施工单位上报了建筑节能工程施工技术专项方案,其中包括如下内容:(1)考虑到冬期施工气温较低,规定外墙外保温层只在每日气温高于5℃的11:00—17:00之间进行施工,其他气温低于5℃的时段均不施工;(2)工程竣工后,施工单位项目经理组织建筑节能分布工程验收。事件三:施工单位提交了室内装饰装修工程进度计划网络图(如下图所示),经监理工程师确认后按此组织施工。注:参数标注示例室内装饰装修工程进度计划网络图(时间单位:周)
事件四:在室内装饰装修工程施工过程中,因设计变更导致工作C的持续时间变为36天。施工单位以设计变更影响施工进度为由提出22天的工期索赔。
问题:
1.分别指出事件一种施工组织设计编制、审批程序的不妥之处,并写出正确做法。施工单位关于建筑节能工程施工的说法是否正确?说明理由。
2.分别指出事件二中建筑节能工程施工安排的不妥之处,并说明理由。
3.针对事件三的进度计划网络图,列式计算工作C和工作F事件参数中的缺项,并确定该网络图的计算工期(单位:周)和关键线路(用工作表示)。
4.事件四中,施工单位提出的工期索赔是否成立?说明理由。
分享到:
