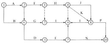
某双代号网络计划如下图所示,图中存在的绘图错误有()。
查看答案
参考解析:
9版教材P138页
双代号网络计划的绘图规则有:(1)双代号网络图必须正确表达已定的逻辑关系。(2)双代号网络图中,严禁出现循环回路。所谓循环回路是指从网络图中的某一个节点出发,顺着箭线方向又回到了原来出发点的线路。(3)双代号网络图中,在节点之间严禁出现带双向箭头或无箭头的连线。(4)双代号网络图中,严禁出现没有箭头节点或没有箭尾节点的箭线。(5)当双代号网络图的某些节点有多条外向箭线或多条内向箭线时,为使图形简洁,可使用母线法绘制(但应满足一项工作用一条箭线和相应的一对节点表示)。(6)绘制网络图时,箭线不宜交叉。当交叉不可避免时,可用过桥法或指向法。(7)双代号网络图中应只有一个起点节点和一个终点节点(多目标网络计划除外),而其他所有节点均应是中间节点。(8)双代号网络图应条理清楚,布局合理。例如,网络图中的工作箭线不宜画成任意方向或曲线形状,尽可能用水平线或斜线;关键线路、关键工作安排在图面中心位置,其他工作分散在两边;避免倒回箭头等。因此,正确选项是BDE。