首页
购课
直播
题库
图书商城
企业团报
资讯
资讯
题库
课程
0
登录
/
注册
学习币:
余额:
我的服务
我的课程
我的题库
我的订单
我的资料
退出登录
二级建造师
招生简章
NEW
资讯
资料
APP下载
工程类
试验检测师&助理
二级建造师
监理工程师
一级建造师
安全工程师
当前位置 >
二级建造师
>
模拟试题
>
施工管理
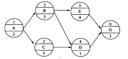
某工程的单代号网络计划如下图所示(时间单位:天),该计划的计算工期为()天。
发布时间:2020年05月24日 18:03
中迅网校
阅读量:1051
某工程的单代号网络计划如下图所示(时间单位:天),该计划的计算工期为()天。
A
9
B
11
C
12
D
15
查看答案
参考答案:
C
参考解析:
经计算得到:计划工期12天。因此,正确选项是C。
分享到:
上一题:双代号网络图中,工作是用()表示的。
下一题:某工程网络计划中,工作N最早完成时间为第17天,持续时间为5天。该工作有三项紧后工作,它们的最早开始时间分别为第25天、第27天和第30天,则工作N的自由时差为()天。
相关试题
更多...
根据《建设工程施工合同(示范文本)》(GF-2013-0201),施工合同签订后,承包人应向发包人提交的关于项目经理的有效证明文件包括()。
已有1233人浏览
建筑工程施工质量控制难度大的原因有()。
已有1034人浏览
下列施工成本管理措施中,属于经济措施的有()。
已有1003人浏览
关于《标准施工招标文件》中缺陷责任的说法,正确的有()。
已有1066人浏览
根据《质量管理体系基础和术语》GB/T19000-2000,施工企业开展质量管理和质量保证的基础是()。
已有1069人浏览
关于横道图进度计划的说法,正确的是()。
已有1317人浏览
项目经理部通过在混凝土拌和物中加入添加剂以降低水泥消耗量,属于成本管理措施中()。
已有1353人浏览
对各种投入要素质量和环境条件质量的控制,属于施工过程质量控制中()的工作。
已有1364人浏览
施工企业在安全生产许可证有效期内严格遵守有关安全生产的法律法规,未发生死亡事故的,安全生产许可证期满时,经原安全生产许可证的颁发管理机关同意,可不经审查延长有效期()年。
已有554人浏览
根据《建设工程安全生产管理条例》,施工单位应当组织专家对专项施工方案进行论证、审查的分部分项工程有()。
已有1033人浏览
热门资讯
· 吉林:关于做好2026年吉林省专业技术人员继续教育学习有关工作的通知
· 浙江:即日起,开标环节不得要求建造师出场!
· 四川住建厅:抽查2727名注册建造师!严查社保缴纳情况
· 西安市: 12月1日起,质量安全监管系统正式启用!
· 安徽:关于我省二级建造等注册证书电子证照信息优化的公告
· 辽宁省:关于加强房屋市政工程安全生产相关电子证照动态监管的通知
· 四川省:关于开展2025年度建筑业企业和注册建造师“双随机”检查工作的通知
· 注册建造师一年内变更注册单位2次及以上的,在资质审批中不作为有效人员认定!
· 住建委:二级建造师能担任监理单位的监理工程师!
· 372人不合格!河南省发布2025年二建考后资格核查结果
微信服务号
微信扫码关注获取福利
热门新闻
考试资讯
报名通知
直播提醒
重要提醒
检测到您的账号已在其他设备登录,
请重新登录
退出登录
重新登录