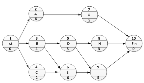
某分部工程的单代号网络计划如图所示(时间单位:天),正确的有()。
发布时间:2020年05月24日 18:02 中迅网校 阅读量:1020

某分部工程的单代号网络计划如图所示(时间单位:天),正确的有()。

  • A

    有两条关键线路

  • B

    计算工期为15

  • C

    工作G的总时差和自由时差均为4

  • D

    工作D和I之间的时间间隔为1

  • E

    工作H的自由时差为2

查看答案

分享到:

相关试题
重要提醒
检测到您的账号已在其他设备登录,
请重新登录
退出登录重新登录