首页
购课
直播
题库
图书商城
企业团报
资讯
资讯
题库
课程
0
登录
/
注册
学习币:
余额:
我的服务
我的课程
我的题库
我的订单
我的资料
退出登录
二级建造师
招生简章
NEW
资讯
资料
APP下载
工程类
试验检测师&助理
二级建造师
监理工程师
一级建造师
安全工程师
当前位置 >
二级建造师
>
模拟试题
>
施工管理
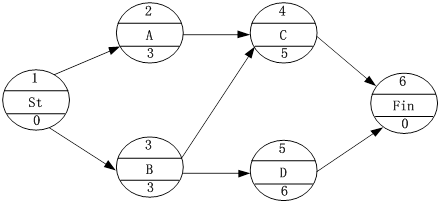
单代号网络计划如下图所示(时间单位:天),其关键线路有()条。
发布时间:2020年05月26日 11:13
中迅网校
阅读量:1192
单代号网络计划如下图所示(时间单位:天),其关键线路有()条。
A
2
B
1
C
3
D
4
查看答案
参考答案:
B
参考解析:
分享到:
上一题:根据《标准施工招标文件》,下列不属于工程变更范围的是()。
下一题:关于建设工程项目管理进度计划系统的说法,正确的是()。
相关试题
更多...
根据工程网络施工进度计划的编制程序,下列网络计划的编制工作中,属于网络图绘制阶段的是()。
已有329人浏览
【已根据新版教材调整】下列施工企业新员工上岗前安全培训内容中,属于班组级岗前安全培训内容的是()。
已有333人浏览
当管理职能分工表不足以明确每个工作部门的管理职能时,还可以辅助使用()。
已有1126人浏览
下列施工工程合同风险产生的原因中,属于合同工程风险的是()。
已有1124人浏览
某分部工程有3个施工过程,划分为4个施工段组织加快的成倍节拍流水施工,流水节拍分别为4天,6天和2天,则该分部工程需派出的专业工作队数是()个。
已有375人浏览
某清单项目计划工程量为300m³,预算单价为600元,已完工程量为350m³,实际单价为650元。采用赢得值法分析该项目成本正确的是()。
已有513人浏览
《职业健康安全管理体系—规范>GB/T28001-2001的构成要素有()。
已有1105人浏览
根据《标准施工招标文件》,关于合同进度计划说法,正确的是( )。
已有1001人浏览
根据应急预案体系的构成,针对深基坑开挖编制的应急预案属于()。
已有1292人浏览
某工程项目施工中,针对实际施工进度滞后的状况,施工单位改进了施工工艺,该做法表明施工单位采取了()措施进行施工项目目标动态控制。
已有388人浏览
热门资讯
· 西安市: 12月1日起,质量安全监管系统正式启用!
· 安徽:关于我省二级建造等注册证书电子证照信息优化的公告
· 辽宁省:关于加强房屋市政工程安全生产相关电子证照动态监管的通知
· 四川省:关于开展2025年度建筑业企业和注册建造师“双随机”检查工作的通知
· 注册建造师一年内变更注册单位2次及以上的,在资质审批中不作为有效人员认定!
· 住建委:二级建造师能担任监理单位的监理工程师!
· 372人不合格!河南省发布2025年二建考后资格核查结果
· 建造师证书如果在短期内多次重新注册在新的企业,是否会撤销证书?
· 内蒙古考区:关于发放2025年度二级建造师执业资格电子证书的通知
· 西藏考区:2025年二建合格标准公布!附合格名单
微信服务号
微信扫码关注获取福利
热门新闻
考试资讯
报名通知
直播提醒
重要提醒
检测到您的账号已在其他设备登录,
请重新登录
退出登录
重新登录