首页
购课
直播
题库
图书商城
企业团报
资讯
资讯
题库
课程
0
登录
/
注册
学习币:
余额:
我的服务
我的课程
我的题库
我的订单
我的资料
退出登录
二级建造师
招生简章
NEW
资讯
资料
APP下载
工程类
试验检测师&助理
二级建造师
监理工程师
一级建造师
安全工程师
当前位置 >
二级建造师
>
模拟试题
>
施工管理
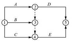
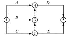
某工程有A、B、C、D、E五项工作,其逻辑关系为A、B、C完成后D开始,C完成后E才能开始。则据此绘制的双代号网络图是()。
发布时间:2020年07月08日 16:53
中迅网校
阅读量:1257
某工程有A、B、C、D、E五项工作,其逻辑关系为A、B、C完成后D开始,C完成后E才能开始。则据此绘制的双代号网络图是()。
A
B
C
D
查看答案
参考答案:
C
参考解析:
根据逻辑关系,正确的是C项。
分享到:
上一题:需要编制单位工程施工组织设计的工程项目是()。
下一题:某项目部针对现场脚手架拆除作业而制定的事故应急预案称为()。
相关试题
更多...
当工程质量缺陷经加固、返工处理后仍无法保证达到规定的安全要求,但没有完全丧失使用功能时,适宜采用的处理方法是()。
已有992人浏览
某地铁工程施工中,业主将12个车站的土建工程分别发包给12个土建施工单位,将12座车站的机电安装分别发包给12家机电安装单位,这种承发包的模式属于()模式。
已有1190人浏览
【已根据新版教材调整】绘出直方图后,如出现峭壁型,很可能是由()造成的。
已有518人浏览
【已根据新版教材调整】下列施工进度计划中,属于单位工程施工进度计划编制的内容是()。
已有420人浏览
根据《建设工程施工合同(示范文本)》,承包人提供质量保证金的方式原则上应为()。
已有1072人浏览
施工企业安全生产责任制度应当覆盖的范围是()。
已有617人浏览
项目开工前的技术交底书应由施工项目技术人员编制,经()批准实施。
已有1225人浏览
建筑材料采购合同条款的相关说法,正确的是()。
已有1272人浏览
项目经理对各班组的考核宜以()作为班组责任成本。
已有499人浏览
关于施工成本分析的方法:①收集成本信息;②选择成本分析方法;③分析成本形成的原因;④进行成本数据处理;⑤确定成本结果。正确的步骤是()。
已有604人浏览
热门资讯
· 吉林:关于做好2026年吉林省专业技术人员继续教育学习有关工作的通知
· 浙江:即日起,开标环节不得要求建造师出场!
· 四川住建厅:抽查2727名注册建造师!严查社保缴纳情况
· 西安市: 12月1日起,质量安全监管系统正式启用!
· 安徽:关于我省二级建造等注册证书电子证照信息优化的公告
· 辽宁省:关于加强房屋市政工程安全生产相关电子证照动态监管的通知
· 四川省:关于开展2025年度建筑业企业和注册建造师“双随机”检查工作的通知
· 注册建造师一年内变更注册单位2次及以上的,在资质审批中不作为有效人员认定!
· 住建委:二级建造师能担任监理单位的监理工程师!
· 372人不合格!河南省发布2025年二建考后资格核查结果
微信服务号
微信扫码关注获取福利
热门新闻
考试资讯
报名通知
直播提醒
重要提醒
检测到您的账号已在其他设备登录,
请重新登录
退出登录
重新登录