首页
购课
直播
题库
图书商城
企业团报
资讯
资讯
题库
课程
0
登录
/
注册
学习币:
余额:
我的服务
我的课程
我的题库
我的订单
我的资料
退出登录
二级建造师
招生简章
NEW
资讯
资料
APP下载
工程类
试验检测师&助理
二级建造师
监理工程师
一级建造师
安全工程师
当前位置 >
二级建造师
>
模拟试题
>
施工管理
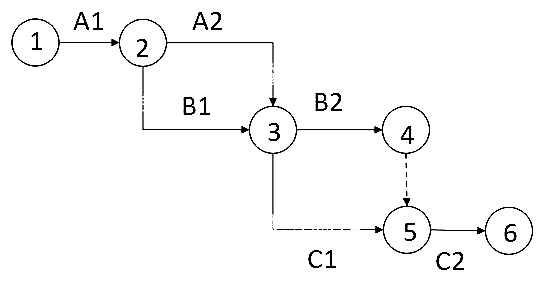
如下所示网络图中,存在的绘图错误是()。
发布时间:2020年05月24日 18:02
中迅网校
阅读量:978
如下所示网络图中,存在的绘图错误是()。
A
节点编号错误
B
工作编号重复
C
存在多余节点
D
有多个终点节点
查看答案
参考答案:
B
参考解析:
9版教材P136
工作A2和B1共用同一对节点编号。
分享到:
上一题:工程施工职业健康安全管理工作包括:①确定职业健康安全目标;②识别并评价危险源及风险;③持续改进相关措施和绩效;④编制技术措施计划;⑤措施计划实施结果验证。正确的程序是()。
下一题:某建设工程项目的造价中人工费为3000万元,材料费为6000万元,施工机具使用费为1000万元,企业管理费为400万元,利润为800万元,规费为300万元,各项费用均不包含增值税可抵扣进项税额,增值税税率为9%。则增值税销项税额为()万元。
相关试题
更多...
根据构成风险的因素分类,建设工程施工现场因防火设施数量不足而产生的风险属于()风险。
已有1171人浏览
根据《建设工程施工合同(示范文本)》,招标工程一般以投标截止日前()天作为基准日期。
已有1273人浏览
单代号网络计划如下图所示(时间单位:天),其关键线路有()条。
已有1271人浏览
下列建设工程项目中,宜采用成本加酬金合同的是()。
已有1067人浏览
某独立土方工程,发承包双方根据《建设工程工程量清单计价规范》,签订了固定单价合同,招标清单工程量为5000m3,约定的综合单价为60元/m3。合同约定:当承包人实际完成并经监理工程师计量的工程量超过清单工程量的15%时,超过部分的单价调整为原综合单价的9/10。工程结束时实际完成并经监理工程师确认的土方工程量为6000m3。则该土方工程总价款为()元。
已有569人浏览
【已根据新版教材调整】机械伤害预防中,“四停用”包括()。
已有430人浏览
根据《标准施工招标文件》,承包人按照合同规定将隐蔽工程覆盖后,监理人又要求承包人对已覆盖部位揭开重新检验,经检验证明工程质量符合要求,由此增加的费用和延误的工期应由()承担。
已有1089人浏览
编制控制性施工进度计划的目的有()。
已有1319人浏览
根据施工项目相关的信息管理工作要求,项目施工进度计划表属于()。
已有1120人浏览
进行施工成本分析时,将同类指标不同时期的数值进行对比,分析指标发展方向和速度的方法是( )。
已有155人浏览
热门资讯
· 吉林:关于做好2026年吉林省专业技术人员继续教育学习有关工作的通知
· 浙江:即日起,开标环节不得要求建造师出场!
· 四川住建厅:抽查2727名注册建造师!严查社保缴纳情况
· 西安市: 12月1日起,质量安全监管系统正式启用!
· 安徽:关于我省二级建造等注册证书电子证照信息优化的公告
· 辽宁省:关于加强房屋市政工程安全生产相关电子证照动态监管的通知
· 四川省:关于开展2025年度建筑业企业和注册建造师“双随机”检查工作的通知
· 注册建造师一年内变更注册单位2次及以上的,在资质审批中不作为有效人员认定!
· 住建委:二级建造师能担任监理单位的监理工程师!
· 372人不合格!河南省发布2025年二建考后资格核查结果
微信服务号
微信扫码关注获取福利
热门新闻
考试资讯
报名通知
直播提醒
重要提醒
检测到您的账号已在其他设备登录,
请重新登录
退出登录
重新登录