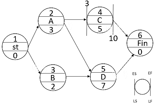
单代号网络计划中,工作C的已知时间参数(单位:天)标注如下图所示,则该工作的最迟开始时间、最早完成时间和总时差分别是()天。
发布时间:2020年05月27日 15:37 中迅网校 阅读量:1397

单代号网络计划中,工作C的已知时间参数(单位:天)标注如下图所示,则该工作的最迟开始时间、最早完成时间和总时差分别是()天。

  • A

    3、10、5

  • B

    3、8、5

  • C

    5、10、2

  • D

    5、8、2

查看答案

分享到:

相关试题
重要提醒
检测到您的账号已在其他设备登录,
请重新登录
退出登录重新登录