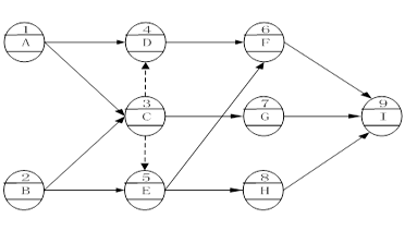
某单代号网络图如下图所示,存在的错误有()。
发布时间:2020年05月17日 14:54 中迅网校 阅读量:1022

某单代号网络图如下图所示,存在的错误有()。

微信图片_20200517145404.png

  • A

    多个起点节点

  • B

    有多余虚箭线

  • C

    交叉箭线未采用过桥法或指向法绘制

  • D

    没有终点节点

  • E

    出现循环回路

查看答案

分享到:

重要提醒
检测到您的账号已在其他设备登录,
请重新登录
退出登录重新登录