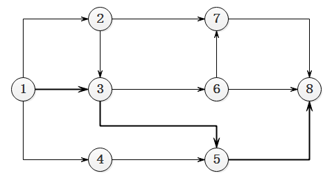
某双代号网络计划如下图(图中粗实线为关键工作),若计划工期等于计算工期,则自由时差一定等于总时差且不为零的工作有()。
发布时间:2020年05月17日 11:21 中迅网校 阅读量:973

某双代号网络计划如下图(图中粗实线为关键工作),若计划工期等于计算工期,则自由时差一定等于总时差且不为零的工作有()。

20171102021651825.png

  • A

    6-8

  • B

    3-5

  • C

    4-5

  • D

    2-7

  • E

    1-2

查看答案

分享到:

相关试题
重要提醒
检测到您的账号已在其他设备登录,
请重新登录
退出登录重新登录