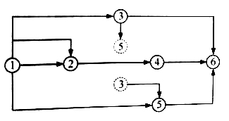
根据《工程网络计划技术规程》JGJ/T121-2015,网络图存在的绘图错误是()。
发布时间:2020年05月13日 17:43 中迅网校 阅读量:1089

根据《工程网络计划技术规程》JGJ/T121-2015,网络图存在的绘图错误是()。

  • A

    编号相同的工作

  • B

    多个起点节点

  • C

    相同的节点编号

  • D

    无箭尾节点的箭线

查看答案

分享到:

重要提醒
检测到您的账号已在其他设备登录,
请重新登录
退出登录重新登录