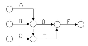
某工作间逻辑关系如下图,则正确的是()。
发布时间:2020年05月17日 11:17 中迅网校 阅读量:1090

某工作间逻辑关系如下图,则正确的是()。

2017092002334433.jpg

  • A

    A、B均完成后同时进行C、D

  • B

    A、B均完成后进行D

  • C

    A、B、C均完成后同时进行D、E

  • D

    B、C完成后进行E

查看答案

分享到:

相关试题
重要提醒
检测到您的账号已在其他设备登录,
请重新登录
退出登录重新登录