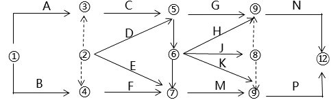
某双代号网络计划如下图,绘图的错误有()。
发布时间:2020年05月13日 17:43 中迅网校 阅读量:1089

某双代号网络计划如下图,绘图的错误有()。

  • A

    有多个终点节点

  • B

    有多个起点节点

  • C

    存在循环回路

  • D

    有多余虚工作

  • E

    节点编号有误

查看答案

分享到:

重要提醒
检测到您的账号已在其他设备登录,
请重新登录
退出登录重新登录