首页
购课
直播
题库
图书商城
企业团报
资讯
资讯
题库
课程
0
登录
/
注册
学习币:
余额:
我的服务
我的课程
我的题库
我的订单
我的资料
退出登录
一级建造师
招生简章
NEW
资讯
资料
APP下载
工程类
试验检测师&助理
二级建造师
监理工程师
一级建造师
安全工程师
当前位置 >
一级建造师
>
模拟试题
>
工程经济
某投资者6年内每年年末投资500万元。若基准收益率为8%,复利计息,则6年末可一次性回收的本利和为()万元。
发布时间:2020年05月17日 10:26
中迅网校
阅读量:880
某投资者6年内每年年末投资500万元。若基准收益率为8%,复利计息,则6年末可一次性回收的本利和为()万元。
A
B
C
D
查看答案
参考答案:
C
参考解析:
版教材P9
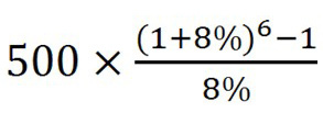
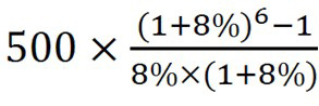
等额支付系列现金流量的终值为:
故6年末可以一次性收回的本利和为C
分享到:
上一题:关于施工企业确定工程成本核算对象的说法,正确的是()。
下一题:关于财务内部收益率的说法,正确的是()。
相关试题
更多...
对于完全由企业自有资金投资的技术方案,自主测定其基准收益率的基础主要是()。
已有839人浏览
关于一次支付现值、终值、计息期数和折现率相互关系的说法,正确的是()。
已有1143人浏览
某企业希望未来5年每年年末等额投入一笔资金,用于偿还第5年年末的借款本息和2000万元,年收益率4%,按年复利计算该企业每年年末应投入的资金是()万元。
已有310人浏览
某施工机械购置费用为120万元,折旧年限为6年,年平均工作250个台班,预计净残值率为3%,按工作台班法提取折旧,该机械台班折旧费为()元。
已有829人浏览
根据《财政投资项目评审操作规程》(试行)(财办理[2002]619号),投送评审机构评审的项目概算应由项目()提供。
已有956人浏览
根据《建设工程工程量清单计价规范》,关于工程量的说法,正确的是()。
已有1455人浏览
下列短期负债筹资方式中,属于商业信用形式的有()。
已有935人浏览
某企业拟从金融机构借入一笔期限5年的资金,四种计息方案如下表,在其他条件相同的情况下仅从资金使用成本考虑,最佳的方案是()。
已有1589人浏览
下列新技术应用方案属于技术适用性的是()。
已有1184人浏览
某施工企业年度工程结算收入为3000万元,营业成本为2300万元,管理费用为200万元,财务费用为100万元,其他业务收入为200万元,投资收益为150万元,营业外收入为100万元,营业外支出为80万元,所得税为100万元,则企业营业利润为()万元。
已有1070人浏览
热门资讯
· 2025年一级建造师考试「准考证打印入口」
· 2025年一级建造师考试「准考证打印时间」
· 贵州考区:发布2025年一级建造师考前【注意事项】
· 江西人事考试网:1名考生成绩作废、证书收回!
· 2025年度一级建造师考试「报名时间」
· 2025年一级建造师考试「各地领取时间」
· 2025年一级建造师考试「证书领取方式」
· 2025年一级建造师考试「成绩管理」
· 2025年一级建造师考试「合格标准」
· 2025年一级建造师考试「题型题量」
微信服务号
微信扫码关注获取福利
热门新闻
考试资讯
报名通知
直播提醒
重要提醒
检测到您的账号已在其他设备登录,
请重新登录
退出登录
重新登录